338P/McNaught (0338P)

TRY AGAIN 2031

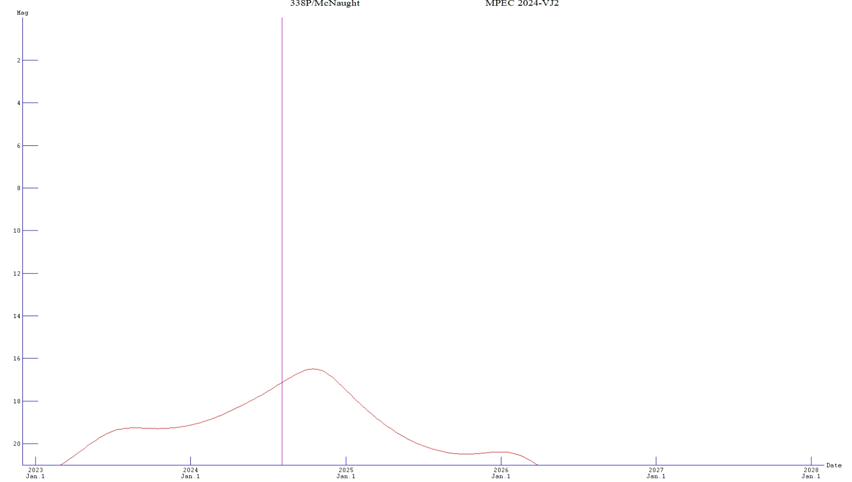
Type: Periodic Perihelion date: 3 August 2024 Perihelion distance (q): 2.3 Aphelion distance (Q) : 5.5 Period (years): 7.7 Eccentricity (e): 0.41 Inclination (i): 25.4 JPL orbit diagram COBS lightcurve Atlas 2008 J3 (P/McNaught) was discovered by Rob McNaught at 18th magnitude on 10 May 2008 on CCD images taken with the 0.5-m Uppsala Schmidt telescope at Siding Spring Observatory. It was recovered as 2016 N1 at the European Space Agency Optical Ground Station with the 1.0m reflector on 2 July 2016. Observations (VEMag = visual equivalent magnitude) Date 10x10 mag Error VEmag Coma ' 30-Aug-16 18.02 0.04 16.3 0.2 06-Sep-16 17.70 0.03 16.5 0.2 22-Sep-16 17.25 0.04 14.9 0.2 30-Sep-16 17.40 0.02 16.0 0.2 08-Oct-16 17.40 0.02 16.0 0.2 28-Oct-16 17.83 0.03 16.7 0.2 05-Nov-16 17.90 0.05 16.3 0.2 24-Nov-16 18.24 0.05 16.8 0.2 19-Dec-16 18.80 0.13 17.5 0.2 30-Aug-24 19.0 0.4 08-Sep-24 18.8 0.4 26-Sep-24 19.0 0.4 23-Oct-24 18.7 0.4 05-Nov-24 18.6 0.4 18-Dec-24 19.7 0.4